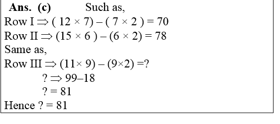
Q: Study the given matrix carefully and select the number from among the given options that can replace the question mark (?) in it. 12 7 70 15 6 78 11 9 ?
A.
75
B.
85
C.
81
D.
76
Correct Answer:
Option C -
Explanations:
Download Our App
Download our app to know more Lorem ipsum dolor sit amet consectetur adipisicing elit.
Excepturi, esse.
YOU ARE NOT LOGIN
Unlocking possibilities: Login required for a world of personalized
experiences.