Which of the following is NOT a character formatting option in Microsoft Word? निम्नलिखित में से कौन माइक्रोसॉफ्ट वर्ड में कैरेक्टर फॉर्मेटिंग विकल्प नहीं है?
Which politician was also a cartoonist? कौन-सा राजनेता कार्टूनिस्ट भी था?
Which Pranayama is about sea round or round of waves? समुद्री ध्वनि या तरंगों की ध्वनि की नकल करने के बारे में कौन सा प्राणायाम है?
.
Given below are four jumbled sentences. Select the option that gives their correct order. A. European cloth manufacturers therefore had to depend on a plant called woad to make dyes. B. However, cloth dyers preferred indigo which produced a rich blue colour. C. Being a plant of the temperate zones, woad was easily available in Europe. D. Indian indigo was very expensive and only small quantities reached the European markets.
In which region of Madhya Pradesh Solar Floating Project of 600 MW/600 मेगावाट क्षमता की सौर तरण परियोजना (सोलर फ्लोिंटक प्रोजेक्ट) मध्य प्रदेश के किस क्षेत्र में प्रस्तावित है?
बच्चे भाषा प्रभावशाली तरीके से तब सीखते हैं जब ____________
In the given sentence identify the segment which contains a grammatical error. The publics are not satisfied with the new act.
In a concrete mix, if maximum size of coarse aggregate is increased, the proportion of fine to coarse aggregate should be - एक कंक्रीट मिक्स में, यदि मोटे मिलावे का अधिकतम आकार बढ़ा दिया जाए, तो महीन से मोटे मिलावे का अनुपात होना चाहिए-
निम्न में से किसे संविधान सभा का अस्थायी अध्यक्ष नियुक्त किया गया था?
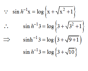
Explanations:
Download our app to know more Lorem ipsum dolor sit amet consectetur adipisicing elit. Excepturi, esse.
Unlocking possibilities: Login required for a world of personalized experiences.