In an air blast circuit breaker, why is compressed air used? एयरब्लास्ट परिपथ वियोजक (सर्किट ब्रेकर) में, संपीडित वायु का उपयोग क्यों किया जाता है–
.
What is the principal amount which earns रु 154/- as a compound interest for the second year at 10% per annum?
Tropopause is found in- क्षोभ सीमा (Tropopause) पाई जाती है -
The marked price of an article is ` x. After allowing two successive discounts of 20% and 16% on the marked price, it is sold for ` 504. What is the value of x?
‘परीक्षा-केंद्र ’ में इनमें से कौन-सा समास है?
________willingly gives the solution for the agricultural problem.
भारतीय नौसेना की पूर्वी नौसेना कमान 'पूर्वी लहर अभ्यास' का संचालन किया, पूर्वी कमान का मुख्यालय कहां है?
भारत में होमरूल लीग के बारे में निम्नलिखित कथनों में से कौन-कौन से सही हैं? 1. इस आंदोलन का नेतृत्व नरम दलीय कांग्रेस नेताओं ने किया। 2. दो होम रूल लीग थे। 3. आन्दोलन मजबूत हुआ क्योंकि विश्व युद्ध के दौरान कांग्रेस द्वारा अन्य आंदोलन प्रारंभ नहीं किए जा सके। 4. सरकार इस आंदोलन के प्रति अ-प्रतिक्रियाशील थी। नीचे दिए गए कूट का प्रयोग कर सही उत्तर चुनिए :
In a singly reinforced beam
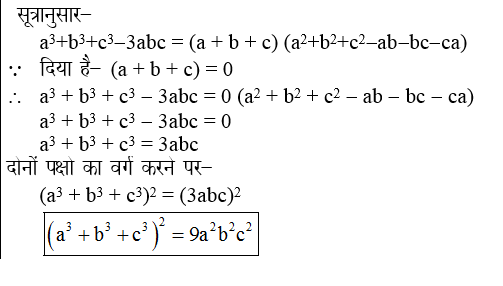
Explanations:
Download our app to know more Lorem ipsum dolor sit amet consectetur adipisicing elit. Excepturi, esse.
Unlocking possibilities: Login required for a world of personalized experiences.