Montessari out lined five distinct benefits of gardening to children. Which of the following are those benefits?/मोंटेसरी ने बच्चों को बागवानी के पाँच विशिष्ट लाभों की रूपरेखा दी। निम्नलिखित में से कौन से वे लाभ हैं? I. Learning to care for living beings and life. I. जीवित प्राणियों और जीवन की देखभाल करना सीखना। II. Exceuting independent work without the help of the teacher. II. शिक्षक की सहायता के बिना स्वतंत्र कार्य करना। III. Developing interpersonal skills. III. अंतर्वैयक्तिक कौशल का विकास करना।
Sentences of a paragraph are given below in jumbled order. Arrange the sentences in the correct order to form a meaningful and coherent paragraph. A. We recognise some aspects of an SF narrative with the realities of this world and some elements are estranged from the reality so as to take us to an unreal world. B. Therefore, it is often suggested that‘cognitive estrangement’ is a necessary means through which the SF is usually understood. C. Science Fiction is a genre which manifests in itself the use of scientific premises often in a fantastical manner in a narrative. D. It is highly seeped into the reality of this world.
अंतर्राष्ट्रीय साक्षरता दिवस प्रतिवर्ष कब मनाया जाता है?
In the context of sensorimotor stage, which of the following statement is correct? सेंसरिमोटर चरण के संदर्भ में, निम्नलिखित में से कौन सा कथन सही है? I. In Piaget’s theory, it’s the third stage in cognitive development I. पियाजे के सिद्धांत में, यह संज्ञानात्मक विकास की तीसरी अवस्था है II. Infant learn through senses and motor activity II. शिशु इंद्रियों और मोटर गतिविधि के माध्यम से सीखते हैं
2011 की जनगणना के अनुसार जनसंख्या के सम्बन्ध में उत्तर प्रदेश का कौन सा जिला सबसे बड़ा है?
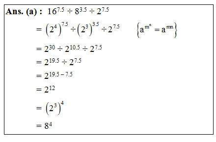
.
उत्तर प्रदेश उर्दू अकादमी की स्थापना की गयी थी वर्ष
Sind was conquered and annexed by किसने सिंध विजित कर उसका अधिकरण किया?
In portland cement Calcium chloride (CaCl₂) is most widely used for - पोर्टलैण्ड सीमेंट में, कैल्शियम क्लोराइड (CaCl₂) सामान्यत: व्यापक रूप से निम्न के लिए प्रयोग की जाती है–
Which among the following is a Kharif crop?
Explanations:
Download our app to know more Lorem ipsum dolor sit amet consectetur adipisicing elit. Excepturi, esse.
Unlocking possibilities: Login required for a world of personalized experiences.