______ is a mask dance prevalent in south malabar?
By which Constitutional Amendment Act, the number of Lok Sabha seats was increased from 525 to 545?
Who is the author of the book "The commonwealth of cricket"? पुस्तक ‘‘द कॉमनवेल्थ ऑफ क्रिकेट’’ के लेखक कौन हैं?
.
जनसंख्या की दृष्टि से उत्तर प्रदेश में प्रथम पाँच सबसे बड़े नगर है :
वह सही विकल्प चुनें जो निम्नलिखित शब्दों को एक तार्किक और सार्थक क्रम में व्यवस्थित करता हो। 1. भोजनालय 2. भोजन करना 3. भोजन बनाना 4. भोजन का ऑर्डर करना 5. भोजन परोसना
‘‘मूर्खस्य नास्त्यौषधम्’’ इति नीते: कविरस्ति?
निम्नलिखित नदियों में से कौन मकर रेखा को दो बार क्रास करती है ?
15वें वित्त आयोग की सिफारिशों के अनुसार वर्ष 2021-22 से 2025-26 के दौरान पंचायतों को किस क्षेत्र के लिए 1.42 लाख करोड़ रु० का सशर्त अनुदान स्वीकृत हुआ है?
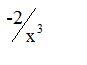
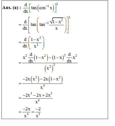
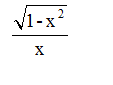
Explanations:
Download our app to know more Lorem ipsum dolor sit amet consectetur adipisicing elit. Excepturi, esse.
Unlocking possibilities: Login required for a world of personalized experiences.