सरकार की एक ऐसी व्यवस्था जिसमें अधिकारों/शक्तियों को केंद्रीय प्राधिकरण और विभिन्न संघटक इकाईयों के बीच विभाजित किया जाता है, उसे कहते हैं।
.
सितम्बर 2025 में आचार्य देवव्रत ने किस राज्य के राज्यपाल के रूप में शपथ ग्रहण की है ?
निम्नलिखित में से कौन–सा एक पूर्णत: प्रतिस्पर्धा बाजार का सर्वोत्तम उदाहरण है?
Which one of the following rivers forms the southern boundary of Jhabua district? झाबुआ जिले की दक्षिणी सीमा से निम्नलिखित में से कौन सी नदी निकलती हैं ?
बाबर द्वारा किस भाषा में ‘तुजुक-ए-बाबरी’ लिखी गयी थी?
एक दुकानदार ने दो खिलौनों को प्रत्येक `990 में बेचा। पहले खिलौने पर उसे 10% का लाभ प्राप्त हुआ और दूसरे खिलौने पर उसे 10% की हानि हुई। लाभ या हानि का कुल प्रतिशत ज्ञात कीजिए।
वर्ष 2011 की जनगणना के अनुसार उत्तर प्रदेश में साक्षरता दर में 2001 में 2011 तक वृद्धि हुई थी-
Four years ago the ratio of ages of A and B was 4:5. Eight years hence the ratio of the ages of A and B will be 11:13. What is the total sum of their present ages?
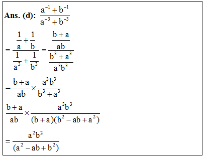
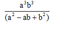
Explanations:
Download our app to know more Lorem ipsum dolor sit amet consectetur adipisicing elit. Excepturi, esse.
Unlocking possibilities: Login required for a world of personalized experiences.