आलू का काला धब्बा रोग किसके कारण होता है?
हाल ही में भारतीय बैंक संघ (IBA) का नया चेयरमैन किसे चुना गया है?
Select the word in which the two given words are related to each other in the same way as the two words of the given pair are related to each other. (The words should be considered as meaningful English words and they should not be related to each other on the basis of the number of letters/number of consonants/ vowels in the word.) Denver : Colorado
How many times is a do while loop guaranteed to loop? do while loop कितनी बार किसी लूप को आश्वस्त करता है
जब राज्य विधायिका को निलंबित या भंग कर दिया जाता है, तो संसद राज्य के लिए कानून बनाने की शक्ति................को सौंप सकती है।
The phase voltage of a star-connected, three-phase circuit is 200 V. The line voltage will be- स्टार-संयोजित 3-फेज परिपथ का फेज वोल्टेज 200 V है। लाइन वोल्टेज कितना होगा–
Which of the following Bogue compound is called 'Alite' formed during clinkering process of cement? सीमेन्ट की क्लिंकरिग प्रक्रिया के दौरान बनने वाले निम्नलिखित में से किस बोग यौगिक को एलाइट कहा जाता है।
यदि TRACTOR = 14 और TROLLEY =14 तो SCOOTER · ?
उत्तर प्रदेश में मान्यता प्राप्त स्टॉक एक्सचेन्ज है-
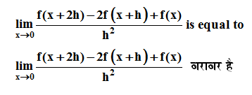
.
Explanations:
Download our app to know more Lorem ipsum dolor sit amet consectetur adipisicing elit. Excepturi, esse.
Unlocking possibilities: Login required for a world of personalized experiences.