High level code ready to be translated into machine code is called? मशीन कोड में ट्रांसलेट करने के लिए तैयार हाई लेवल कोड क्या कहलाता है ?
निम्न में से कौन 8085 माइक्रोप्रोसेसर के लिए आउटपुट सिग्नल है?
जहाँ पर केवल एक ओर से रिवेटन हो सकती है वहाँ पर निम्न रिवेट प्रयोग करेंगे?
‘य’ का उच्चारण स्थान है–
Which of the following is NOT a valid file system of Windows Operating System?
The ratio of cement-sand mortar preferred in Load bearing wall construction is ___.
Who was the first Gupta ruler to attain the title of Maharajadhiraja?
Which two signs should be interchanged to make the given equation correct ? दिए गए समीकरण को सही बनाने के लिए किन दो चिह्नों को आपस में बदला जाना चाहिए ? 42 + 16 × 4 – 6 ÷ 3 = 28
Which of the following Vedic term do not denoteagricutural tools?/निम्नलिखित वैदिक शब्दों में कौन-सा शब्द कृषि उपकरण का द्योतक नहीं है?
Anti-apartheid activist……as imprisoned for 27 years by the South African government in 1962
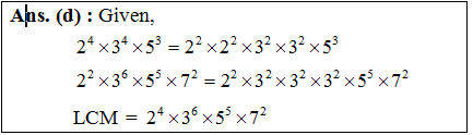
Explanations:
Download our app to know more Lorem ipsum dolor sit amet consectetur adipisicing elit. Excepturi, esse.
Unlocking possibilities: Login required for a world of personalized experiences.