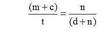
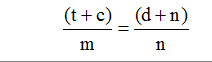
Q: In a doubly-reinforced beam if c and t are stresses in concrete and tension reinforcement, d is the effective depth and n is depth of critical neutral axis n, the following relationship holds good.
A.
B.
C.
D.
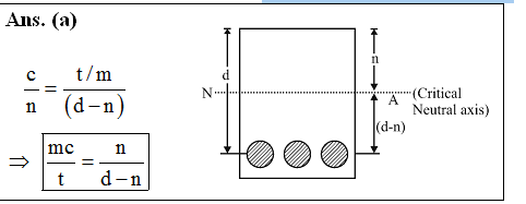
Correct Answer:
Option A -
Explanations:
Download Our App
Download our app to know more Lorem ipsum dolor sit amet consectetur adipisicing elit.
Excepturi, esse.
YOU ARE NOT LOGIN
Unlocking possibilities: Login required for a world of personalized
experiences.