एक बुलेट ट्रेन रुके बिना 12 घंटें में अपनी यात्रा पूरी करती है। अगर यह 30 किमी./घंटा तेजी से यात्रा करे तो 10 घंटा 40 मिनट में यात्रा पूरी कर लेगी, यात्रा पूरी करने में 12 घंटे लगने पर ट्रेन की गति क्या थी?
What is the percentage of forests in Madhya Pradesh’s total geographical area?/ मध्य प्रदेश के कुल भौगोलिक क्षेत्र में जंगलों का प्रतिशत क्या है
Which word is a synonym for ‘egotism’ as used in the passage B?
The schools can perform better if there is a close linkage between the school and the community. Which of the following can be used to establish this ? विद्यालय बेहतर निष्पादन कर सकते हैं यदि विद्यालय एवं समुदाय के बीच नजदीकी संबंध है। इसे स्थापित करने के लिए निम्नलिखित में से किसका उपयोग किया जा सकता है? I. Parents and schools to communicate regularly and clearly. I. अभिभावक एवं विद्यालय नियमित रूप से एवं स्पष्टता से संप्रेषण करें। II. Teachers guiding and advising parents. II. शिक्षक अभिभावकों को दिशा निर्देशों और सलाह दें।
In a polytropic process, if the value of n = 1, the process will be- एक बहुदैशिक प्रक्रम (polytropic process) में यदि n = 1 है, तो प्रक्रम ................ होगा।
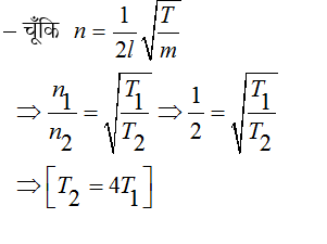
.
Unwin's formula is used to determine-
Identify the Tense in the given sentence. Ram should have gone to the market.
Explanations:
Download our app to know more Lorem ipsum dolor sit amet consectetur adipisicing elit. Excepturi, esse.
Unlocking possibilities: Login required for a world of personalized experiences.