Underemployment means अल्परो़जगार का अर्थ है
Select the number from among the options given that is related to the fifth number in the same way as the second and fourth numbers are related to the first and third numbers respectively 11 : 143 :: 13 : 221 :: 7 : ?
Diopter is unit of……….. डायोप्टर..............की इकाई है।
बिहार का अधिकांश क्षेत्र आच्छादित है
Which of the following rule number states that "every installation shall be periodically inspected and checked at intervals not exceeding five years either by inspector or by the supplier"? निम्नलिखित में से कौन सा नियम संख्या बताता है कि ‘‘प्रत्येक इंस्टालेशन का पाँच वर्ष से कम या तो इंस्पेक्टर या तो सप्लायर द्वारा समय-समय पर निरीक्षण किया जाना चाहिए और समय अंतराल पर जाँच किया जाना चाहिए’’–
Which type of tape is easily affected by dampness and is used for measuring offsets?
Calculate the current in a wire if 1200 C of charge passes through it in 10 minutes.
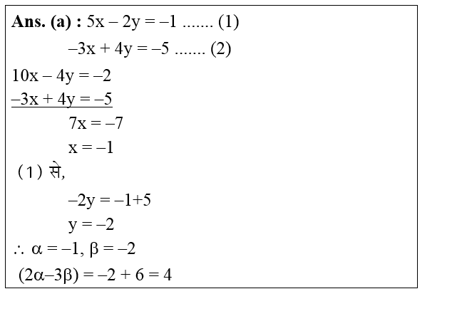
.
विशेष विवाह अधिनियम 1954 निम्नलिखित में से किसका समर्थन नहीं करता है?
The ideal of "Classes of Change" was first given by ‘‘परिवर्तन के वर्ग’’ का विचार सर्वप्रथम दिया गया
Explanations:
Download our app to know more Lorem ipsum dolor sit amet consectetur adipisicing elit. Excepturi, esse.
Unlocking possibilities: Login required for a world of personalized experiences.