search
Q: Six students are sitting around a circular table facing the centre. L is an immediate neighbour of both J and H. I is sitting second to the left of J. K is sitting third to the right of H. G is an immediate neighbour of both I and H. The position of how many persons will remain unchanged if all persons are arranged in English alphabetical order in clockwise direction, starting from G (including G)? छ: विद्यार्थी एक गोलाकार मेज के परित: मेज के वेंâद्र की ओर अभिमुख होकर बैठे हैं। L, जगदीश और हेत, दोनों के निकटतम पड़ोसी है। इप्सिता, जगदीश के बाई ओर से दूसरे स्थान पर बैठी है। कला, हेत के दाई ओर से तीसरे स्थान पर बैठा है। गणेश, इप्सिता और हेत, दोनों का निकटतम पड़ोसी है। यदि गणेश से आंरभ करते हुए सभी विद्यार्थियों (गणेश सहित) को घड़ी के चलने की दिशा में वर्णानुक्रम में व्यवस्थित किया जाए, तो कितने व्यक्तियों की स्थिति अपरिवर्तित रहेगी?
  • A. One/एक
  • B. Two/दो
  • C. Three/तीन
  • D. Four/चार
Correct Answer: Option D -
answer image

Explanations:

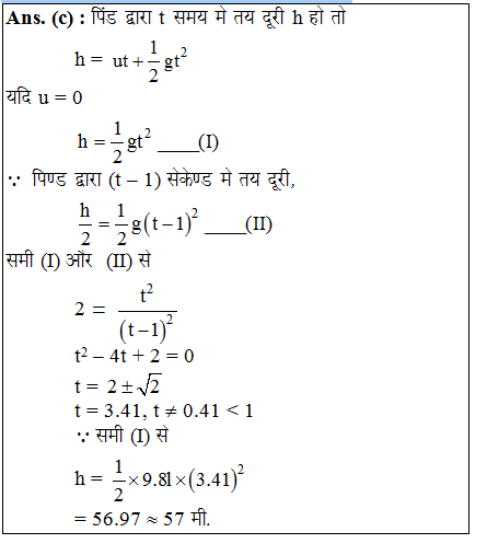
explanation image