निम्नलिखित कथनो, स्थापना (अ) और तर्क (ब) पर विचार कीजिए और नीचे दिए गए कूट से सही विकल्प का चयन कीजिए: स्थापना (अ) : पाश्चात्य साहित्य में कल्पना को बहुत महत्व दिया गया है। तर्क (ब) : पाश्चात्य साहित्य कल्पनाप्रसूत है। कूट :
प्रणिता उत्तर दिशा में जाती है, और फिर दायीं मुड़ती है दुबारा से दायीं मुड़ती है और फिर बायीं मुड़ती है। अब प्रणिता किस दिशा में जा रही है?
एक घड़ी की एमआरपी (MRP) `4750 है तथा उसकी बिक्री पर 12% की छूट दी जाती है। यदि दुकानदार ने उस घड़ी को `3,850 में खरीदा है तो उसका लाभ कितना होगा?
Why does a piece of cloth, which appears green in sunlight, appear black when it is viewed under red light?
If a drawing uses an engineer's scale of 1:100, how long on the drawing would a 300-meter road be represented? यदि किसी ड्रांइग में 1:100 के इंजीनियर पैमाने का उपयोग किया जाता है, तो ड्रांइग पर 300 मीटर की सड़क को दर्शाया जायेगा?
_______ is the highest waterfall in Madhya Pradesh. ______, मध्य प्रदेश का सबसे ऊंचा जलप्रपात है।
What is S.I. unit for kinematic viscosity of fluid? तरल की शुद्ध गतिक श्यानता का एस.आई (S.I.) मात्रक क्या है?
During painting, white lead is added to paint and it acts as : पेंटिंग के दौरान, पेंट में सफेद लेड मिलाया जाता है और यह __________ के रूप कार्य करता है।
A shopkeeper gives successive discounts of 20%, 10% and 5%. A customer bought an article for `342. What was the marked price of an article?
‘‘अनाघ्रातं पुष्पं किसलयमलूनं कररुहै:’’ यह उक्ति है
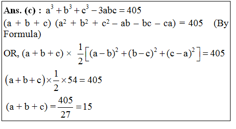
Explanations:
Download our app to know more Lorem ipsum dolor sit amet consectetur adipisicing elit. Excepturi, esse.
Unlocking possibilities: Login required for a world of personalized experiences.