Q: Find the weighted arithmetic mean of the first ‘n’ natural numbers, the weights being the corresponding numbers. यदि भार संगत संख्याएं हैं, तो प्रथम 'n' प्राकृत संख्याओं का भारित समांतर माध्य ज्ञात करें।
A.
B.
C.
D.
n
Correct Answer:
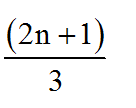
Option C -
Explanations:
Download Our App
Download our app to know more Lorem ipsum dolor sit amet consectetur adipisicing elit.
Excepturi, esse.
YOU ARE NOT LOGIN
Unlocking possibilities: Login required for a world of personalized
experiences.