search
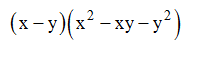
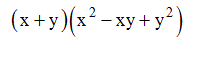
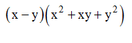
Q: Factorisation of x³–y³ is x³–y³ का गुणनखण्ड है
  • A.
    option image
  • B.
    option image
  • C.
    option image
  • D.
    option image
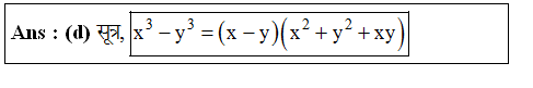
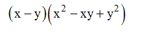
Correct Answer: Option D -
answer image

Explanations:

explanation image