Which one of the following pairs is not correctly matched? निम्नलिखित युग्मों में से कौन सुमेलित नहीं है?
Who is the official publisher and custodian of the Gazette of India?
दी गई समरूपता के आधार पर, दिए गए विकल्पों में से दिया गया युग्म ज्ञात करें। 32 : 13 :: ...... : ........
The change in entropy when 10 gm of ice at 0⁰ C is converted into water at the same temperature (latent heat 80 cal/gm)/ यदि 10ग्रा0 बर्फ को, जो 0⁰ सेंटीग्रेड पर हो, उसी ताप पर पानी में बदला जाये तो एन्ट्रोपी में परिवर्तन होगा (गुप्त उष्मा = 80 कैलोरी /ग्राम)
निम्नलिखित गद्यांश को पढ़कर पूछे गए प्रश्नों के सही/सर्वाधिक उपयुक्त विकल्प का चयन कीजिए। (1-8) इस बार मौसम विज्ञानियों ने घोषणा की हुई है कि अल नीनो प्रभाव के कारण मानसून कमजोर रह सकता है। चैत के महीने में बारिश होने के हालात पर घाघ ने भी यही कहा है। चैत यानी मार्च-अप्रैल के दिनों में अगर बारिश होती है तो सावन सूखा जा सकता है। बात सिर्फ इस बार के मानसून की नहीं है। अमेरिका में हाल ही में ताजे पानी के हालात पर हुए एक सम्मेलन में संयुक्त राष्ट्र संघ के महासचिव एंटोनियो गुतेरेज ने एक रिपोर्ट जारी की है। इसमें कहा गया है कि 2050 तक पानी का सबसे बड़ा संकट भारत में आने वाला है। भारत पर संकट इसलिए है क्योंकि गंगा, यमुना, ब्रह्मपुत्र और सिंधु जैसी नदियों का पानी धीरे-धीरे कम होता जाएगा। सिर्फ गंगा की बात करें तो 2500 किलोमीटर लंबी यह नदी उत्तराखंड से बंगाल के बीच कई राज्यों से गुजरती है। इसके किनारों पर बसे महानगरों, कस्बों और गाँवों की करीब चालीस करोड़ की आबादी की पानी से जुड़ी जरूरतों को यह पूरा करती है। इसके पानी का स्रोत गंगोत्री ग्लेशियर है। पर्यावरण विज्ञानियों का दावा है कि पिछले 87 साल में तीन किलोमीटर लंबे इस ग्लेशियर का पौने दो किलोमीटर हिस्सा पिघलकर गायब हो चुका है। अभी जलवायु परिवर्तन का जो हाल है, वह पूरे हिमालय क्षेत्र के लिए खतरनाक माना जा रहा है। भारत के हिस्से वाले हिमालय में 9775 ग्लेशियर बताए जाते हैं। इनमें अकेले उत्तराखण्ड में 968 हैं। अब अगर इनके पिघलने की रफ्तार तेज होती जाती है तो क्या होगा? नदियों का पानी धीरे-धीरे कम होता जाएगा। वाक्य में रेखांकित पद हैं :
ध्वनि का वेग किसमें अधिक होता है।
‘भीत्रार्थानां भयहेतु:’ सूत्र का प्रयोग किया जाता है–
Yaoshang festival is celebrated in which state of India?
Despite................working on a substance, the quality to not change in shape is called...............
Which of the following is not a feature of the Hire Purchase System? निम्नलिखित में से कौन-सी किराया क्रय पद्धति की विशेषता नहीं है?
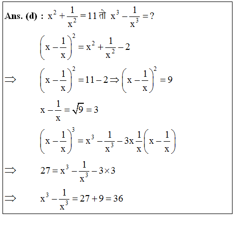
Explanations:
Download our app to know more Lorem ipsum dolor sit amet consectetur adipisicing elit. Excepturi, esse.
Unlocking possibilities: Login required for a world of personalized experiences.