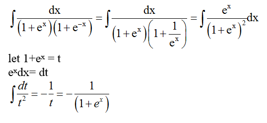
10
Comprehension: Read the given passage and answer the questions that follow. Nasa in once again at it- attempting to launch its mega-Moon rocket to the Moon. The American space agency is conducting the third attempt to launch the Artemis-I mission on a journey to the Moon. The Space Launch System (SLS rocket) will lift off with the Orion spacecraft from the Kennedy Space Centre on Wednesday. The launch will be a foundation for a future crewed mission as countries from across the world ready their plans to launch to the Moon. Nasa has tried to launch the mission twice in the past, but the attempts have been unsuccessful due to engine issues and hydrogen leaks. Liftoff is scheduled for the early morning hours of Wednesday from Nasa's Kennedy Space Center, with test dummies rather than astronauts on board. It's the first test flight for the 322-foot (98 meter) rocket, the most powerful ever built by Nasa, and will attempt to sent the capsule into lunar orbit. The nearly month-long $4 billion mission had been grounded since August by fuel leaks and Hurricane Ian, which forced the rocket back into its hangar for shelter at the end of September. The rocket remained at the pad for Nicole, a tropical storm; managers said there wasn't enough time to move it once it became clear the storm was going to be stronger than anticipated. Teams are poised to resume work as soon as weather and Kennedy center status allows. Once back on-site, technicians will perform inspections at the pad to assess the status of the rocket and spacecraft as soon as practicable. Q. Which of the following is a pair of strong storms?