.
‘‘बच्चे बहुत-सी गलतियाँ मात्राओं के प्रयोग में करते हैं’’ वाक्य में रेखांकित अंश है-
To copy an image from one slide in a presentation to another slide, which of the following shortcut key combination will be useful?
भारत के पहले प्राइवेट सब-मीटर रिज़ॉल्यूशन सर्विलांस सैटेलाइट को किसने लांच किया?
Maintenance of personal accounts and cash accounts is called as............ व्यक्तिगत खातों और नकदी खातों का अनुरक्षण.......... कहलाता है।
Calculate the safe stopping sight distance (in m) for the descending gradient of 3% for a design speed of 80 km/h. Take coefficient of friction as 0.35 and total reaction time as 2 seconds.
दिए गए शब्द में वचन कीजिए। चाय
कटिंग ब्लो पाइप के टिप में सेन्टर होल का कार्य होता है?
Which company manufactured the first microprocessor 4004?/पहला माइक्रोप्रोसेसर 4004 किस कंपनी द्वारा बनाया गया?
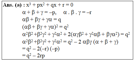
Explanations:
Download our app to know more Lorem ipsum dolor sit amet consectetur adipisicing elit. Excepturi, esse.
Unlocking possibilities: Login required for a world of personalized experiences.