एक टैंक 6 घंटे में तीन पाइप X, Y और Z द्वारा भरा जाता है। यदि Z, Y से तीन गुना तेज और Y, X से दो गुना तेज है, तो पाइप X द्वारा टैंक को भरने के लिए कितने घंटों की आवश्यकता होगी?
Which one of the following minerals has a hardness of 8 based Mohs scale?
Orobanche is which type plant?
By which constitutional amendment were the words ‘socialist’, ‘secular’ and ‘Integrity’ added in the Preamble of Indian Constitution?
Malwa was conquered in the 2nd century by_. _ ने दूसरी शताब्दी में मालवा पर विजय प्राप्त की थी
इनमें से कौन सी निष्क्रिय गैस रेडियोधर्मी प्रकृति की है?
एक समावेशी कक्षा में भाषा-शिक्षक को किस बिन्दु का सबसे अधिक ध्यान रखना चाहिए?
An individual resident in India can avail Rebate if his total income is up to ` ________. भारत में निवासी एक व्यक्ति छूट का लाभ उठा सकता है यदि उसकी कुल आय ` ________ तक है।
`450 की धनराशि को 4 .5% की वार्षिक साधारण ब्याज दर पर ब्याज के रूप में `81 अर्जित करने के लिए कितना समय लगेगा?
प्रयाग: गङ्गायमुनयो: सङ्गमे स्थित: अस्ति। अत्र ब्रह्मण: प्रकृष्टयागकरणात् अस्य ‘प्रयाग:’ नाम अभवत् । ‘प्रयाग’ नगरं पुराणेषु पवित्रतमं, पुण्यदं मोक्षदञ्च कीर्तितम्। इदं नगरं भारतवर्षस्य प्रमुखनगरेषु वर्तते। प्रयागस्य अपरं नाम ‘इलाहाबाद’ इत्यपि वर्तते। इदं कथ्यते यत् प्रयागस्य ‘इलाहाबाद’ नाम अकबरनामा सम्राट स्व- ‘इलाही’ धर्मानुसारेण कृतवान्। प्रयागे उत्तरप्रदेशस्य उच्चन्यायायोऽपि स्थित: अस्ति। प्रयाग: उच्चशिक्षाया: प्रधानं केन्द्रम् अस्ति। इदं नगरं स्व ऐतिहासिकमहत्त्वमपि अधिकरोति। 3.प्रयाग का दूसरा नाम है–
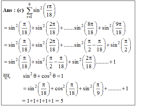
Explanations:
Download our app to know more Lorem ipsum dolor sit amet consectetur adipisicing elit. Excepturi, esse.
Unlocking possibilities: Login required for a world of personalized experiences.