‘मालतीमाधव’ किसकी रचना है?
भारत का सर्वोच्च कानून अधिकारी (law officer) कौन होता है?
हाल ही में किसे एसबीआई का नया प्रबंध निदेशक नियुक्त किया गया है?
मुख्यमंत्री सामूहिक विवाह योजना के तहत, उत्तर प्रदेश सरकार प्रत्येक लाभार्थी युगल के लिए ............. प्रदान करती है।
.
आयनी यौगिकों से सम्बंधित निम्न कथनों पर विचार कीजिए— 1. आयनी यौगिक एल्कोहल में अविलेय होते हैं। 2. ठोस अवस्था में आयनी यौगिक विद्युत के उत्तम चालक होते हैं। इन कथनों में से कौन-सा/से सही है/हैं?
The silver coin introduced by Sher Shah Suri was called.
An emulsion is a colloidal solution of
What is the theme of National Productivity Council in 2019 ? 2019 में राष्ट्रीय उत्पादकता परिषद का विषय क्या है?
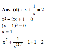
Explanations:
Download our app to know more Lorem ipsum dolor sit amet consectetur adipisicing elit. Excepturi, esse.
Unlocking possibilities: Login required for a world of personalized experiences.