‘अनुराग’ में कौन-सा उपसर्ग है ?
1968 में विश्व का प्रथम पोस्टर संग्रहालय खोला गया :
किरातार्जुनीय के प्रथम सर्ग में पद्यों की संख्या है
Poisson’s ratio for linear elastic, homogeneous and isotropic materials:
If the difference between the circumference and radius of a circle is 37cm, then using π = 22/7, the circumference of circle is/यदि किसी वृत्त की परिधि और त्रिज्या के बीच का अंतर 37cm है, तो x = 22/7 के प्रयोग से, वृत्त की परिधि है
In a certain code language, 'she is beautiful' is written as 'mat mug bit', and 'beautiful and water' is written as 'bit cap lan'. How will 'beautiful' be written in that language?
The total length of the fence arround a square field is 572 m. The side of the square (in m) is:
प्रेमल्या: आदेशात् प्रेमल: किमकुर्वत् ?
परवाह 'PRAVAAH' पोर्टल किस संस्था द्वारा शुरू किया गया है?
‘अनुरूप’ समस्त पद में कौन-सा समास है?
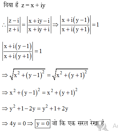
Explanations:
Download our app to know more Lorem ipsum dolor sit amet consectetur adipisicing elit. Excepturi, esse.
Unlocking possibilities: Login required for a world of personalized experiences.