निम्नलिखित में से किस स्थान पर ‘उत्तर मध्य क्षेत्र सांस्कृतिक केन्द्र’ स्थित है?
What is the expected outcome on the accuracy of a compass survey if the local magnetic declination has not been accounted for during the process?/यदि प्रक्रिया के दौरान स्थानीय चुंबकीय झुकाव को ध्यान में नहीं रखा गया है तो कंपास सर्वेक्षण की सटीकता पर अपेक्षित परिणाम क्या है?
The Uttar Pradesh State Highways Authority was constitute in
आगरा और अवध के संयुक्त प्रांत, जिन्हें अब उत्तर प्रदेश के नाम से जाना जाता है, ने वर्ष 1921 में अपनी राजधानी को .............. से लखनऊ में स्थानांतरित किया था।
Total Quasi rent is equal to कुल आभास लगान बराबर होता है–
आचार्य भरत मुनि ने गुणों की संख्या कितनी मानी है?
An assembly line is an example of which one of the following processes? निम्न प्रक्रियाओं में से असेम्बली लाइन किसका एक उदाहरण है?
तेज गेंदबाज नील वैगनर ने अंतरराष्ट्रीय क्रिकेट से संन्यास ले लिया, वह किस देश के खिलाड़ी है?
स्वच्छ भारत मिशन कब शुरू किया गया?
In a certain code language 'GINGER' is written as 'LZCKGF' and 'GARLIC' is written as 'WDHOYF'. How will 'CLOVES' be written in that language?
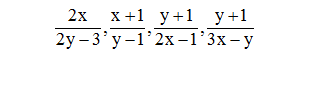
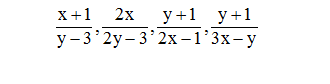
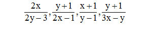
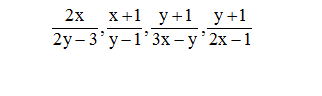
Explanations:
Download our app to know more Lorem ipsum dolor sit amet consectetur adipisicing elit. Excepturi, esse.
Unlocking possibilities: Login required for a world of personalized experiences.