दिए गए कथनों (अभिकथन और कारण) को ध्यानपूर्वक पढि़ए और उनसे संबंधित सर्वाधिक उपयुक्त विकल्प का चयन कीजिए। अभिकथन (A) : ग्रीनलैंड पूर्ण रूप से हरा है। कारण (R) : ध्रुवीय क्षेत्रों में वर्ष भर बर्फ पड़ती है।
What is the theme of World Wetlands Day 2023. विश्व आर्द्रभूमि दिवस (2 फरवरी) की, 2023 की थीम क्या है?
Polar moment of inertia about central axis of a semi-circular lamina with radius R is given as ____.
एक स्लॉट की चौड़ाई को मापने के लिए किस प्रकार के कैलीपर का प्रयोग किया जाता है?
भारतीय संविधान का कौन-सा अनुच्छेद सभी नागरिकों के लिए समान न्याय और मुफ्त कानूनी सहायता को प्रोत्साहित करता है?
1948 में वैश्विक व्यापार को विनियमित करने के लिए GATT की स्थापना की गई थी। GATT का पूर्ण रूप क्या है?
Which of the following is a harvest festival of India?
Nirmala's father, a farmer has been invited by her teacher to help the children understand better about plants in general. The given statement represents which of the following resources used for environmental studies? निर्मला के पिता, एक किसान, को उनके शिक्षक ने बच्चों को सामान्य रूप से पौधों के बारे में अच्छे ढंग से समझने में मदद करने के लिए आमंत्रित किया है। ‘यह दिया गया कथन पर्यावरण अध्ययन के लिए उपयोग किये जाने वाले निम्नलिखित में से किस संसाधन का प्रतिनिधित्व करता है?
A pipe can fill a tank at the rate of 20 liters per minute and the pipe alone can file a tank in 10 hours. If both the pipes are open simultaneously, the tank is filled in 6 hours. Find the capacity of the tank. पाइप A एक टंकी को 20 लीटर प्रति मिनट की दर से भरता है और पाइप B अकेले एक टंकी को 10 घंटे में भरता है। यदि दोनों पाइपों को एक साथ खोल दिया जाए तो टंकी 6 घंटे में भर जाती है। टंकी की क्षमता ज्ञात करें।
Rajghat Multipurpose Project is a joint project of which of the following two States? राजघाट बहु-उद्देश्यीय परियोजना, निम्नांकित में से किन दो राज्यों की संयुक्त परियोजना है?
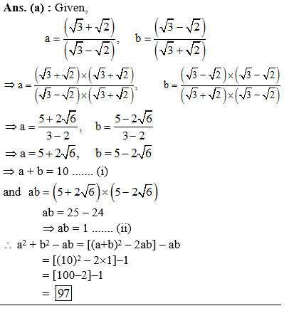
Explanations:
Download our app to know more Lorem ipsum dolor sit amet consectetur adipisicing elit. Excepturi, esse.
Unlocking possibilities: Login required for a world of personalized experiences.