In which belt of Uttrakhand limestone is found?/उत्तराखण्ड के किस संस्तर में चूने का पत्थर पाया जाता है?
"It is immoral to use textbooks with profane words in them because it is not right for our children to be exposed to disrespectful and ugly words." Which logical fallacy is committed in the above argument.?
प्रधानमंत्री नरेंद्र मोदी ने सफ्रान एयरक्राफ्ट इंजन सर्विसेज इंडिया-एसएईएसआई सुविधा का वर्चुअल उद्घाटन कहाँ किया?
Which of the following is not correctly matched?
‘अपरिणामोपशमो दारुणो लक्ष्मीमद:’ इतीयं सूक्तिर्विद्यते
A/An ____ is an interface between the user and hardware./––––– उपयोगकर्ता और हार्डवेयर के बीच एक इंटऱफेस है।
A person pedals for 1 hr 15 minutes on a bicycle for going from one place to another place. If his speed is 18 km/hr then what is the distance (in km.) between the two places?/
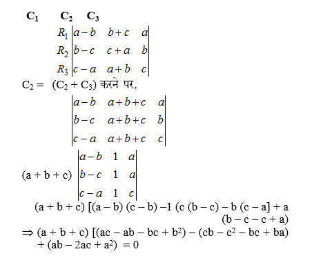
.
इनमें से रीतिकाल का कौन-सा कवि अपने प्रकृति-चित्रण के लिए विख्यात है?
What is the full form of the Indian Political Party 'CPI-M'? भारतीय राजनीतिक पार्टी ‘‘सीपीआई-एम’’ (CPI-M) का पूरा नाम क्या है?
Explanations:
Download our app to know more Lorem ipsum dolor sit amet consectetur adipisicing elit. Excepturi, esse.
Unlocking possibilities: Login required for a world of personalized experiences.