हाल ही में 'मॉडल कौशल ऋण योजना' को किस केन्द्रीय मंत्री ने लांच किया?
With reference to the need of elections in the states, which of the following statements is/are correct?/राज्यों में निर्वाचनों की आवश्यकता के सन्दर्भ में, निम्न में से कौन-सा/से कथन सही है ?
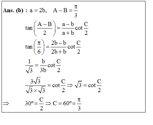
.
निम्नलिखित में से कौन अंतर्राष्ट्रीय ख्याति प्राप्त वेट लिफ्टर है?
Select the most appropriate option for blank No. 4
अंतरिक्ष अनुप्रयोग केन्द्र (Space Application Centre) कहाँ स्थित है?
निम्नलिखित में से कौन सा एक कैल्सियम का समृद्ध स्रोत नहीं है?
Arrange the given words in the order in which they occur in the dictionary. 1. radiance 2. rainbow 3. radical 4. radiology 5. railing
Internet, initially started as– इन्टरनेट की शुरूआत............ के रूप में की गई थी।
Explanations:
Download our app to know more Lorem ipsum dolor sit amet consectetur adipisicing elit. Excepturi, esse.
Unlocking possibilities: Login required for a world of personalized experiences.