अनुसूचित जाति एवं अनुसूचित जनजाति (अत्याचार निरोधक) अधिनियम, 1989 के अन्तर्गत किए गए अपराधों, के लिए जाँच अधिकारी कितने दिनों में अपनी रिपोर्ट सौंपेगा?
प्रसार शिक्षा का उद्देश्य है
Which of the following best reflect experiential strategies in teaching EVS at primary level? निम्नलिखित में से कौन प्राथमिक स्तर पर ईवीएस पढ़ाने में अनुभवात्मक रणनीतियों को सबसे अच्छा दर्शाता है? (1) Discussion/चर्चा (2) Demonstration/प्रदर्शन (3) Field Trips/क्षेत्र भ्रमण (4) Art integrated learning/कला एकीकृत शिक्षा
प्रतिरोध की एस. आई. इकाई है :
डीजल इंजन में ईंधन इंजेक्शन ....... का प्रयोग किया जाता है।
............... भोजनजन्य रोगों के कारणों में से एक है।
Seven persons, A, B, C, D, E, F, G, are sitting around a circular table facing towards the centre. (1) C is the neighbour of A and G. (2) B is to the immediate right of A. (3) F is second to the left of D. What is G's position?
नीचे दी गई तथ्य सूची को पढ़ें और सही निष्कर्ष का चयन करें: तथ्य: सभी क्लेम हैंडलर्स ग्राहकों से बात करते हैं। 'J' ग्राहकों से बात नहीं करता है। केवल एडमिनिस्ट्रेटर ग्राहकों से बात नहीं करते हैं। सभी एडमिनिस्ट्रेटर्स कंपनी के साथ कम से कम 1 वर्ष से जुड़े हैं। निष्कर्ष: 'J' एक क्लेम्स हैंडलर है।
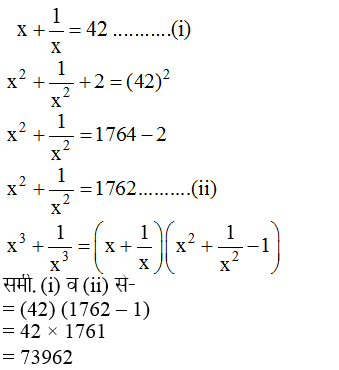
What are the two natural number whose product is 2400 and the sum of whose squares is 5200?/वे दो प्राकृतिक संख्याएँ कौन-सी है, जिनका गुणनफल 2400 है और जिनके वर्गों का योगफल 5200 है?
Mani deposits रु 8000 in a bank on which he gets 5% annual interest. If the interest is calculated annually, then after two years, what will be the amount in his amount?
Explanations:
Download our app to know more Lorem ipsum dolor sit amet consectetur adipisicing elit. Excepturi, esse.
Unlocking possibilities: Login required for a world of personalized experiences.