पंचायतों का चुनाव राज्य निर्वाचन आयोग द्वारा कब से कराया जा रहा है।
The corrections for Sag, Slope and Alignment in a steel tape survey are respectively
‘‘वाराङ्गनेव नृपनीतिरनेकरूपा’’ यह सूक्ति है
In an electric circuit, 40 mA current is passing through a resistor of 250 Ω. Find the voltage drop across the resistor. एक विद्युत परिपथ में, 250 Ω के प्रतिरोधक से 40 mA धारा प्रवाहित हो रही है। प्रतिरोधक में वोल्टता पात ज्ञात कीजिए।
In branch accounting , the direct method is another name for? शाखा लेखांकन में, प्रत्यक्ष विधि ----का अन्य नाम है।
एक राशि उधार ली गई और `980 की दो समान वार्षिक किश्तों में वापस भुगतान की गई, जिसमें 4% चक्रवृद्धि ब्याज लिया गया। उधार ली गई राशि (` में, निकटतम दहाई में) कितनी थी?
निम्नलिखित में से कौन सी दूरी की एक इकाई नहीं है?
निम्नलिखित में से कौन-सा भारत के पूर्वी तट में शीत ऋतु की वर्ष के लिए अधिक उत्तरदायी है?
A crate of fruits contains one spoiled fruit for every 25 fruits. 60% of the spoiled fruits were sold. If the seller had sold 48 spoiled fruits, then the number of fruits in the crate were:
Two pipes, A and B together can fill a tank in 24 minutes. Both the pipes were opened together, but pipe A which can fill the tank in 40 minutes, was closed 30 minutes before the tank got filled. In how many minutes did the tank get filled ?
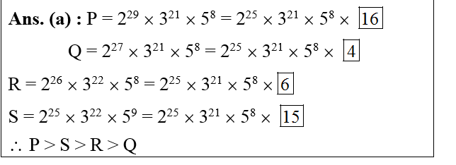
Explanations:
Download our app to know more Lorem ipsum dolor sit amet consectetur adipisicing elit. Excepturi, esse.
Unlocking possibilities: Login required for a world of personalized experiences.