Real time streaming protocol is used____ वास्तविक समय स्ट्रीमिंग प्रोटोकॉल का उपयोग किया जाता है____
ग्लोबल फायरपावर रैंकिंग में दुनिया की सबसे शक्तिशाली सेनाओं में भारत की रैंक क्या है?
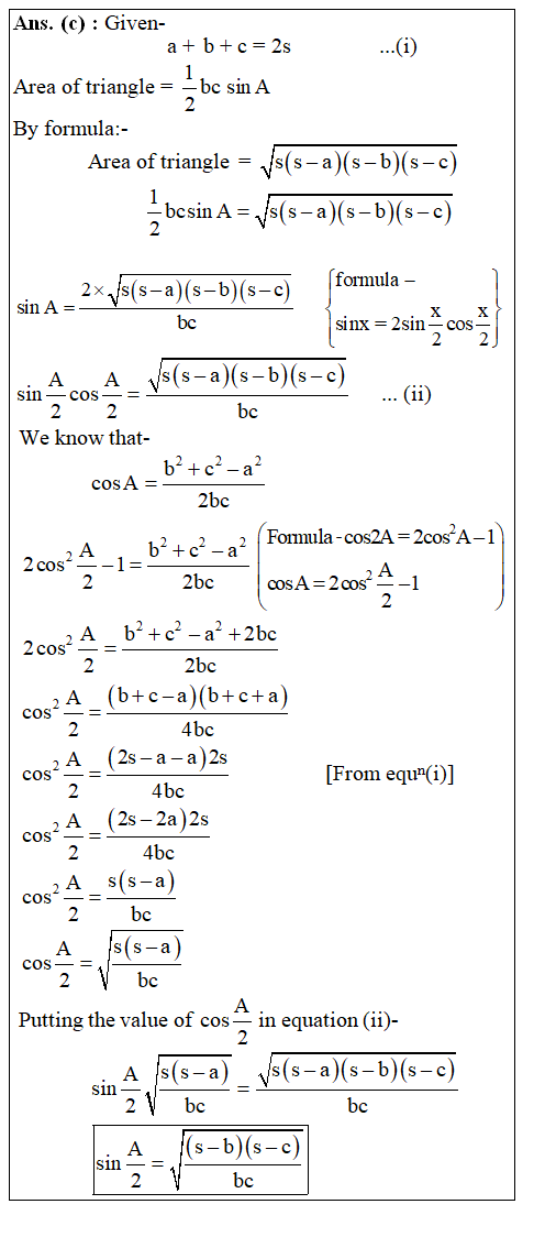
.
`पुरुषोत्तमरताऽपि खलजनप्रिया' यह उक्ति किसके लिये है?
The Harshacharita is a biography of Harshavardhana, the ruler of Kannauj, composed in Sanskrit by his court poet, ––––.
Select the most appropriate ANTONYM of the given word. INDUSTRIOUS
‘छात्र ने दो पुस्तकें खरीदीं।’ इसका सही संस्कृत अनुवाद है
Sindhi language was included in the 8th schedule through which Constitutional Amendment Act ? सिंधी भाषा को किस संविधान संशोधन अधिनियम द्वारा 8वीं अनुसूची में शामिल किया गया था?
निर्देश(241-249): निम्नलिखित गद्यांश को पढ़कर पूछे गए प्रश्नों के सही/सबसे उपयुक्त उत्तर वाले विकल्प को चुनिए। बचपन के पहले दो सालों तक बच्चे भाषा को केवल सुनते और बोलते हैं। उनके जीवन में किताब की कोई कल्पना तक नहीं होती। फिर धीरे-धीरे किताबें उनके जीवन में आती हैं। हम किताब किसे कहेंगे? जब कुछ ऐसे पन्नों को एकत्र किया जाता है जिन पर कुछ लिखा हुआ या छपा हुआ होता है, किताब बन जाती है। बहुत पहले भारत और उसके आस-पास के देशों में ताड़ के पत्तों पर लिखा जाता था या चित्र बनाए जाते थे। फिर उन पत्तों को इकठ्ठा करते थे और उन्हें धागों से बाँध दिया जाता था। इन ताड़ पत्तों पर केवल ऐसे लोग लिखते थे जिनकी लिखाई सुन्दर होती थी और जो सुन्दर चित्र बना पाते थे। जर्मनी में छपाई की मशीन का आविष्कार हुआ जिसके कारण किताबें मशीन से छपने लगी । मशीन से छपने का फायदा यह था कि किताबों की बहुत सी प्रतियाँ एक साथ छप सकती थी। पर नुकसान यह था कि हर किताब एक जैसी दिखाई देती थी। मशीन से छपाई के बाद लिखने वाले की वह छाप किताबों से गायब हो गई। ‘आविष्कार’ का अर्थ क्या है?
श्झ्ण् (सीमांत उपभोग प्रवृत्ति) मान सामान्यत: .......।
Explanations:
Download our app to know more Lorem ipsum dolor sit amet consectetur adipisicing elit. Excepturi, esse.
Unlocking possibilities: Login required for a world of personalized experiences.