The bricks used for a load bearing masonry building should possess the following crushing strength values: एक भार धारण चिनाई बिल्डिंग में प्रयुक्त ईंटों की संदलन सामथ्र्य निम्नांकित होनी चाहिए:
ग्राम स्तर पर पंचायतों के निर्वाचन की रीति का निर्धारण कौन कर सकता है
Read the given statements and conclusion carefully. Assuming that the information given in the statement is true, even if it appears to be at variance from commonly known facts, decide which of the given conclusions logically follows from the statement. Statement : Some flowers are fruits. All fruits are vegetables. Some vegetables are healthy. Conclusion : I. All fruits are healthy. II. Some vegetables are flowers.
The famous Badrinath Pilgrim is also known by another name, which is :/प्रसिद्ध बद्रीनाथ तीर्थ को एक अन्य नाम से भी जाना जाता है, वह है :
यदि A का मतलब '+' है, 'B' का मतलब '–', 'C' का मतलब '×' और 'D' का मतलब '¸' है, तो(1D 1 C 1) A (2 C 2 D 2) A (3 D 3 C 3) B (4 C 4 D 4) का मान ज्ञात करें।
‘‘सा तपस्विनी निर्वृता भवतु’’ इस पंक्ति में सा किसके लिए प्रयुक्त है?
एक व्यक्ति धारा की दिशा में दो घण्टे में 16 किमी. दूरी तय करता है। यदि वह समान समय में धारा के विपरीत दिशा में आधी दूरी तय करता है तो धारा की गति ज्ञात कीजिए।
A shopkeeper decides to increase the marked price of an item by 10%. What discount percent should he give on that item so that he can sell that item at the original marked price?
उस प्रथम महिला का नाम बताइए जो भारत के किसी राज्य के उच्च न्यायालय की मुख्य न्यायाधीश बनी थी।
Which one of the following is a product obtained by distilling tar and is used largely as an effective preservative for wood? निम्नलिखित में से कौन एक टार के आसवन से प्राप्त उत्पाद है और लकड़ी के लिए प्रभावी परिरक्षक के रूप में व्यापक रूप से प्रयोग किया जाता है?
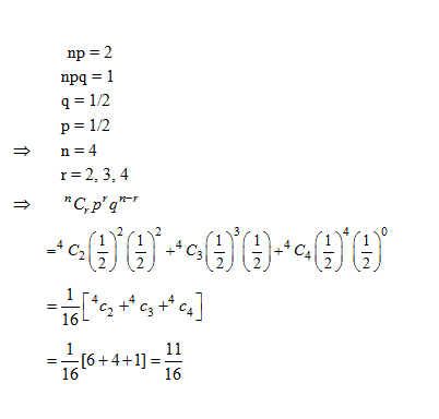
Explanations:
Download our app to know more Lorem ipsum dolor sit amet consectetur adipisicing elit. Excepturi, esse.
Unlocking possibilities: Login required for a world of personalized experiences.