The length of the hypotenuse of a right-angled triangle is 37 cm and the length of one of its other two sides is 12 cm. What is the area of the triangle?
_________won the ESPNcricinfo 'Test Batting Award' 2021. ______ ने ESPNcricinfo ‘टेस्ट बैटिंग अवार्ड’ 2021 जीता।
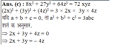
.
Question: Whose weight is lightest among P, Q, R and S? Statement: 1. Weight of R is less than P. 2. Weight of R is less than Q and S.
एक वर्ग का परिमाप 44 सेंटीमीटर है। एक आयत का परिमाप इस वर्ग के परिमाप के बराबर है। आयत की लम्बाई वर्ग की भुजा से 5 सेंटीमीटर अधिक है। वर्ग और आयत के क्षेत्रफलों (सेमी² में) का योगफल है
Who was the author of Padshahnama, an official history of the reign of Shahjahan in his eighth regnal year? शाहजहाँ के शासन के आठवें वर्ष में शासन के राजकीय इतिहास, पादशाहनामा का लेखक कौन था?
What is the primary purpose of infiltration gallery in water supply? जल आपूर्ति में अंत:स्यंदन गैलरी का प्राथमिक उद्देश्य क्या है?
In the context of infant auditory-visual co-ordination, which of the following statements is correct? शिशु के श्रवण-दृश्य समन्वय के संदर्भ में, निम्नलिखित में से कौन सा कथन सही है ? I. When the child hears a sound, the eyes will reorient as if the visual object is being traced to its source. I. जब बच्चा किसी ध्वनि को सुनता है, तो आंखे इस तरह फिर से उन्मुख होेंगी जैसे कि दृश्य वस्तु को उसके स्त्रोत पर खोजा जा रहा हो। II. Butterworth and Castillo found in their study that the newborn looked at the source of the sound. II. बटरवर्थ और कैस्टिलो ने अपने अध्ययन में पाया कि नवजात ध्वनि के स्त्रोत को देखता था।
‘दुर्गा’ एकांकी नाटक के रचनाकार हैं–
निम्नलिखित में क्या भारत के बुंदेलखण्ड क्षेत्र में उगाई जाने वाली बड़ी फसल नहींं है?
Explanations:
Download our app to know more Lorem ipsum dolor sit amet consectetur adipisicing elit. Excepturi, esse.
Unlocking possibilities: Login required for a world of personalized experiences.