The size of the earth or ground wire is based on the भू अथवा ग्राउंड वायर का आकार आधारित रहता है।
According to previous study, what led to higher test scores among girl students?
चक्रपाणि: में समास है
हरेला क्या है?
........... के मापन हेतु प्रक्षेपण विधि का उपयोग किया जाता है।
ऑन्कोलॉजी (Oncology) किस बीमारी के उपचार से जुड़ा है?
राष्ट्रीय चिकित्सा आयोग का अध्यक्ष किसे नियुक्त किया गया है?
An object is placed at a distance of 25 cm from a converging lens, an image, inverted and real is taken formed at a distance of 30 cm from the lens. Magnification produced due the lens is equal to.
बच्चे के सीखने की प्रक्रिया में सर्वाधिक महत्वपूर्ण भूमिका होगी–
डेविड मालन ने हाल ही में इंटरनेशनल क्रिकेट से संन्यास लेने की घोषणा की है, वह किस देश के खिलाड़ी है?
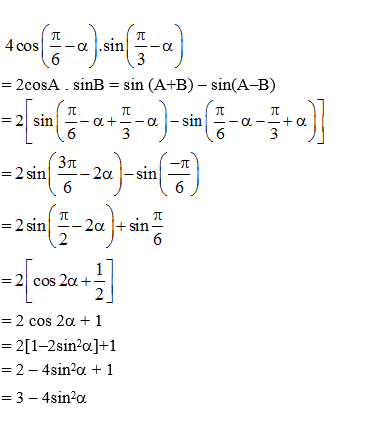
Explanations:
Download our app to know more Lorem ipsum dolor sit amet consectetur adipisicing elit. Excepturi, esse.
Unlocking possibilities: Login required for a world of personalized experiences.