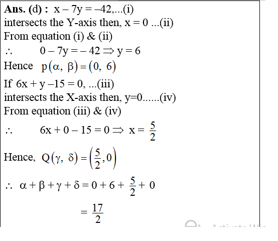
7
Q. Nos. 109 to 113 : Study the following information carefully and answer the questions given below: Following are the conditions of granting advance for रु10 lakhs to the farmers for purchasing tractor, by XYZ bank. The farmer must– (a) have at least five acres of cultivable land. (b) be able to produce collateral of at least `8 lakhs. (c) not more than 50 years of as on 1st December, 2005. (d) not have any outstanding unpaid loan from the bank. (e) be able to produce a recommendation letter from the Panchayat Pradhan. In the case of farmer who satisfies all other criteria, except I. at (a) above, but is able to cultivate more than one crop in each piece of land, the case is to be referred to Chairman of the bank. II. at (d) above, but has fixed deposits of at least रु4 lakhs with the bank, the case is to be referred to the General Manager of the bank. In each question below, detailed information of one farmer is given. You have to carefully study the information provided in each case and take one of the following courses of actions based on the information and conditions given above. You are not to assume anything other than the information provided to each questions. All these cases are given to you as on 1st December, 2005. प्र. सं. 109 से 113 निम्नलिखित जानकारी का ध्यानपूर्वक अध्ययन करें और नीचे दिए गए प्रश्नों के उत्तर देंः किसानों को ट्रैक्टर खरीदने के लिए XYZ बैंक द्वारा रु 10 लाख अग्रिम प्रदान करने की शर्तें निम्नलिखित हैंः किसान - (a) के पास कम से कम पाँच एकड़ कृषियोग्य भूमि होनी चाहिए। (b) कम से कम रु 8 लाख की संपार्श्विक देने में सक्षम होना चाहिए। (c) 1 दिसंबर, 2005 को 50 वर्ष से अधिक उम्र का नहीं होना चाहिए। (d) का बैंक से कोई बकाया अभुक्त ऋण नहीं होना चाहिए। (e) पंचायत प्रधान से एक अनुशंसा पत्र प्रस्तुत करने में सक्षम होना चाहिए। उस किसान के मामले में जो अन्य सभी मानदंडों को पूरा करता है, सिवाय। I. ऊपर (a) में, लेकिन भूमि के प्रत्येक टुकड़े में एक से अधिक फसल उगाने में सक्षम है, तो मामला बैंक के अध्यक्ष को भेजा जाना है। II. ऊपर (d) में, लेकिन बैंक में उसकी कम से कम रु 4 लाख की सावधि जमा है, तो मामला बैंक के महाप्रबंधक को भेजा जाना हैै। नीचे दिए गए प्रत्येक प्रश्न में एक किसान की विस्तृत जानकारी दी गई है। आपको प्रत्येक मामले में प्रदान की गई जानकारी का सावधानीपूर्वक अध्ययन करना है और ऊपर दी गई जानकारी और शर्तों के आधार पर निम्नलिखित में से कोई एक कार्रवाई करनी होगी। आपको प्रत्येक प्रश्न में दी गई जानकारी के अलावा कुछ भी नहीं मानना है। ये सभी मामले आपको 1 दिसंबर, 2005 की स्थिति के अनुसार दिए गए है। Dinesh Singh was born on 5th June, 1957. He has obtained a recommendation letter from the Panchayat Pradhan. He has nine acres of cultivable land and can pledge collateral of रु8 lakhs in addition to his fixed deposit of रु6 lakhs. He has an outstanding loan of रु4 lakhs. Vinod Rai was born on 3rd February, 1956. He has six acres of cultivable land. He has submitted a recommendation letter issued by the Panchayat Pradhan. He can pledge collateral more than रु 10 lakhs. He doesn't have any unpaid loan from the bank. विनोद राय का जन्म 3 फरवरी, 1956 को हुआ था। उनके पास छ: एकड़ कृषियोग्य भूमि है। उन्होंने पंचायत प्रधान द्वारा जारी किया गया एक अनुशंसा पत्र सौंपा है। वह रु10 लाख से अधिक की संपार्श्विक गिरवी रख सकते हैं। उन पर बैंक का कोई बकाया कर्ज (ऋण) नहीं है।