First home science college was established in which State? प्रथम गृह विज्ञान महाविद्यालय की स्थापना किस राज्य में हुई?
अनुवांशिकता और सामाजिक सांस्कृतिक वातावरण के बीच निरंतर और जटिल क्रिया से कौन-सा विकास प्रभावित होता है?
उत्तराखण्ड में कितने नगर निगम हैं-
निम्नलिखित में से क्या समानता के साथ विविधता का एक उदाहरण होगा ?
एक माँ और पुत्री की आयु का अनुपात 9:2 है। पुत्री के जन्म के समय माँ की आयु 28 वर्ष थी। पुत्री की आयु कितनी है?
उत्तर प्रदेश पंचायतीराज अधिनियम की कौन-सी धारा में ग्राम प्रधान के चयन की बात करती है?
पूरक (कॉम्प्लीमेन्टरी) रंगीय योजना दो रंगों की बनी होती है, जो
Select the synonym of the given word. EXEMPT
रूबीन ने कार से 16:50 बजे अपनी यात्रा शुरू की और उसी दिन 21:15 बजे समाप्त की। यात्रा पूरा करने में लिया गया समय है:
Which of the following is included in central nervous system ? निम्नलिखित में से कौन सा केंद्रीय तंत्रिका तंत्र में शमिल है? I. Brain/मस्तिष्क II. Spinal cord /मेरुरज्जु
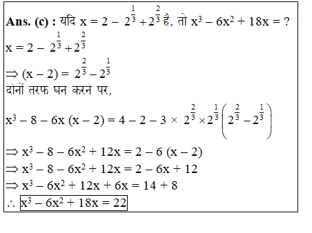
Explanations:
Download our app to know more Lorem ipsum dolor sit amet consectetur adipisicing elit. Excepturi, esse.
Unlocking possibilities: Login required for a world of personalized experiences.