Maximum efficiency will occur, when copper loss is _______ to iron loss? अधिकतम दक्षता तब होती है, जब ताम्र हानि लौह हानि के ........ हो–
......
1991-2001 के दौरान उत्तर प्रदेश में साक्षर व्यक्तियों की प्रतिशत वृद्धि हुई –
Name the formula to calculate the volume of earthwork from contour plan for filling a depression or pond and for cutting a hillock किसी गड्डे या तालाब को भरने और किसी पहाड़ी को काटने के लिए समोच्च प्लान से मृदा के कार्य की मात्रा की गणना करने के सूत्र का नाम बताइए-
During the reign of which dynasty was the Great Wall of China constructed?
What is the result of folding action ? वलन-क्रिया (folding) किसका परिणाम है?
यदि एक रेलगाड़ी 42km/h की औसत चाल से चलती है, तो वह एक निश्चित दूरी को 45 min में तय करती है। इस यात्रा में लगने वाले समय को घटाकर 35 min करने के लिए रेलगाड़ी को किस चाल से चलाया जाना चाहिए?
Name the tiger reserve of Seoni District? सिवनी जिले के टाइगर रिजर्व का नाम बताइए?
.
Consider the following statements regarding 'heat wave':/‘हीट वेव’ के सम्बन्ध में, निम्नलिखित कथनों पर विचार कीजिए : 1. Heat wave is considered if the maximum temperature of a station reaches at least 30ºC or more for plains. यदि किसी मैदानी इलाके का अधिकतम तापमान कम-से-कम 30ºC या इससे अधिक तक पहुँच जाता है, तो उसे हीट वेव माना जाता है 2. Heat wave is considered if the maximum temperature of a station reaches at least 40ºC or more for hilly regions यदि किसी पहाड़ी इलाके का अधिकतम तापमान कम-से-कम 40ºC या इससे अधिक तक पहुँच जाता है, तो उसे हीट वेव माना जाता है। Which of the above statements is/are correct? उपर्युक्त में से कौन-सा/से कथन सही है/हैं?
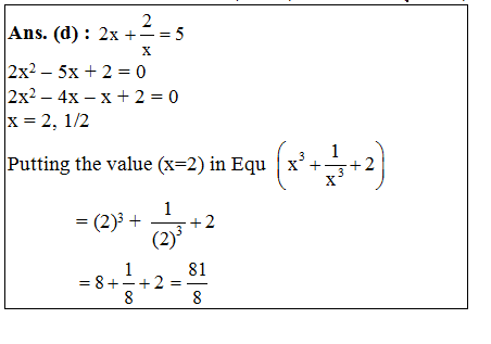
Explanations:
Download our app to know more Lorem ipsum dolor sit amet consectetur adipisicing elit. Excepturi, esse.
Unlocking possibilities: Login required for a world of personalized experiences.