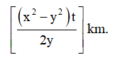
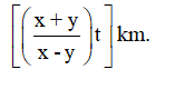
Q: The speed of a boat is x km/hr in still water and a speed of stream is 'y' km/hr. If the time taken to cover a distance upstream is t hour more than the time taken to cover the same distance in the downstream, find the distance covered.
A.
B.
C.
D.
Correct Answer:
Option B -
Explanations:
Download Our App
Download our app to know more Lorem ipsum dolor sit amet consectetur adipisicing elit.
Excepturi, esse.
YOU ARE NOT LOGIN
Unlocking possibilities: Login required for a world of personalized
experiences.