Q: The equation of resistivity for a conductor having unit length and unit area of cross section is: इकाई लंबाई और इकाई क्रॉस सेक्शन क्षेत्रफल वाले चालक के लिए प्रतिरोधकता का समीकरण है:
A.
B.
C.
D.
Correct Answer:
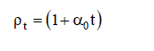
Option C -
Explanations:
Download Our App
Download our app to know more Lorem ipsum dolor sit amet consectetur adipisicing elit.
Excepturi, esse.
YOU ARE NOT LOGIN
Unlocking possibilities: Login required for a world of personalized
experiences.