search
Q: शांत जल में एक नाविक की चार्ल x किमी/घंटा है और धारा की चाल y किमी/घंटा है। यदि एक व्यक्ति नाव चलाते हुए धारा के विपरीत एक निश्चित दूरी तय करता है और फिर धारा की दिशा में वही दूरी तय करके लौटता है, इस यात्रा के दौरान उसकी औसत चाल ज्ञात कीजिए।
  • A.
    option image
  • B.
    option image
  • C.
    option image
  • D.
    option image
Correct Answer: Option D -
answer image

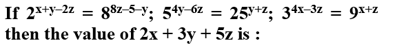
Explanations:

explanation image