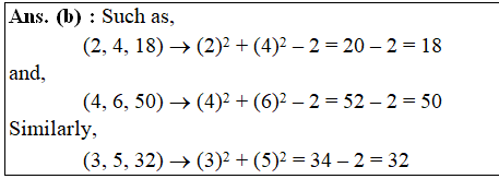
Q: Select the set in which the numbers are related in the same way as are the numbers of the of the following sets. (Note- Operations should be performed on the whole numbers, without breaking down the numbers into its constituent digits, E.g. 13- Operations on 13 such as adding / deleting / multiplying etc. to 13 can be performed. Breaking down 13 into 1 and 3 then performing mathematical operations on 1 and 3 is not allowed) (2, 4, 18) (4, 6, 50)
A.
(6, 7, 65)
B.
(3, 5, 32)
C.
(5, 4, 18)
D.
(2, 5, 49)
Correct Answer:
Option B -
Explanations:
Download Our App
Download our app to know more Lorem ipsum dolor sit amet consectetur adipisicing elit.
Excepturi, esse.
YOU ARE NOT LOGIN
Unlocking possibilities: Login required for a world of personalized
experiences.