प्रसिद्ध क्रान्तिकारी नेता चन्द्रशेखर आजाद के अनुरोध पर किसने द फिलॉसफी ऑफ बॉम्ब (बम का दर्शन) नामक पुस्तक लिखी?
Two sewer pipelines A and B (having the same diameter and made of the same material) are laid at a bed slope of 1 in 225 and 1 in 625, respectively. Determine the ratio of their carrying capacities (QA to QB). दो सीवर पाइपलाइन A और B (एक समान व्यास वाली और एक ही सामग्री से बनी) को क्रमश: 225 में 1 और 625 में 1 के संस्तर ढलान ( Bed slope) पर बिछाया गया है। उनकी वहन क्षमता (QA और QB) का अनुपात ज्ञात करें
भारत में किसके चुनाव में आरक्षित स्थानों को चक्रानुक्रम से भरे जाने का प्रावधान किया गया हैै।
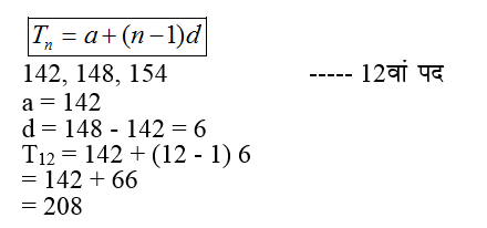
.
Select the most appropriate synonym of the given word. ALLURING
What is the ratio of most unfavourable slen derness of each member between the intermediate weld connection back to back if the most unfavourable ratio of slenderness of the member as a whole is 90 ? मध्यवर्ती वेल्ड जोड़ बैक-टू-बैक के बीच प्रत्येक उपांग के सबसे प्रतिकूल तनुता अनुपात क्या है यदि पूरे उपांग के तनुता का सबसे प्रतिकूल अनुपात 90 है?
Syzgy Condition is found in: युति-अयुति बिन्दु स्थिति पाई जाती है?
Select the Venn diagram that best represents the relationship between the given set of classes. Hawk, Predator, Bird
Explanations:
Download our app to know more Lorem ipsum dolor sit amet consectetur adipisicing elit. Excepturi, esse.
Unlocking possibilities: Login required for a world of personalized experiences.