Action of using the mouse to move an item on computer screen to a new location is called:
The surface area of A₀ drawing sheet is A₀ ड्राईंग शीट का सतही क्षेत्रफल होता है–
उत्तर प्रदेश पुलिस का मुख्यालय कहाँ स्थित है?
Which of the following pairs in incorrectly matched? List-I List-II (Historical event) (Year)
The out turn of a labour in disposal of surplus earth within a lead of 30 m is:
भाषा में अर्थ की सबसे छोटी इकाई ........... है।
आनमुडी पर्वत, निम्न में से किस राज्य में स्थित है?
इनमें से किस भारतीय राज्य में सूर्योदय सबसे पहले होता है?
एसबीआई कार्ड ने किस एयरलाइंस के साथ सह-ब्रांडेड क्रेडिट कार्ड लॉन्च किया है?
Which of the following is an advantage of English bond in brick masonry? ईंट चिनाई में निम्नलिखित में से कौन-सा ईंट चिनाई में अंग्रेजी चाल का लाभ है ?
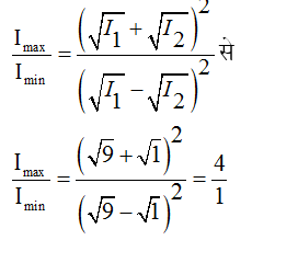
Explanations:
Download our app to know more Lorem ipsum dolor sit amet consectetur adipisicing elit. Excepturi, esse.
Unlocking possibilities: Login required for a world of personalized experiences.