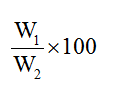
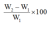
Q: If (W₁) is the weight of brick at room temperature and (W₂) is the brick weight after the brick immersion in water for 24 hours, then the percentage of brick water absorption is calculated as :
A.
B.
C.
D.
Correct Answer:
Option D -
Explanations:
Download Our App
Download our app to know more Lorem ipsum dolor sit amet consectetur adipisicing elit.
Excepturi, esse.
YOU ARE NOT LOGIN
Unlocking possibilities: Login required for a world of personalized
experiences.