Select the most appropriate synonym of the given word. IMITATION
सामाजिक संरचनात्मक परिप्रेक्ष्य में बच्चों को किस तरह से देखते हैं?
A bacteriophage is a जीवाणुभोजी (बैक्टीरियोफेज ) है–
Which of the following develops a tough coat and is gradually converted into a seed in plants? निम्नलिखित में से क्या एक कठोर आवरण विकसित करता है और फिर एक बीज में परिवर्तित हो जाता है?
Suez Canal connects
प्रत्येक पंचायत में महिलाओें के लिए एक-तिहाई आरक्षण का प्रावधान किस अनुच्छेद में दिया गया है?
In which of the following process does mild steel absorb carbon and nitrogen to obtain a hard surface? निम्न में से किस प्रक्रिया में मृदु इस्पात, कार्बन और नाइट्रोजन को अवशोषित करके कठोर सतह प्राप्त करता है?
Who established Ashta Pradhan? अष्टप्रधान का गठन किसने किया था?
सिरैमिक आवरण शीर्षक को किससे सुरक्षित रखता है–
Chapter-III of Drugs and Cosmetics Act 1940 and Rules 1945 gives information about औषधि और प्रशाधन सामग्री अधिनियम 1940 का अध्याय- III और नियम 1945........... की जानकारी देता है।
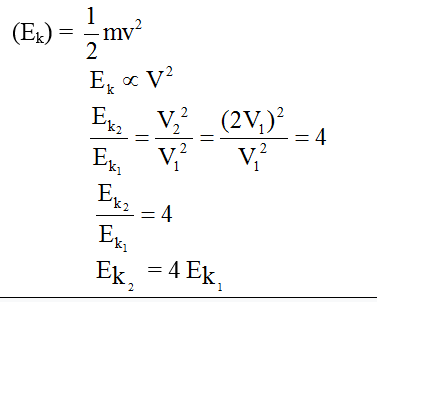
Explanations:
Download our app to know more Lorem ipsum dolor sit amet consectetur adipisicing elit. Excepturi, esse.
Unlocking possibilities: Login required for a world of personalized experiences.