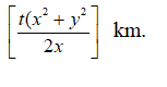
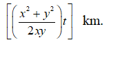
Q: If in still water, the speed of the boat is x km/hr. and speed of stream is 'y' km/hr. and the time taken to reach a place and to return from there is 't' hour, find the distance travelled in one direction.
A.
B.
C.
D.
Correct Answer:
Option B -
Explanations:
Download Our App
Download our app to know more Lorem ipsum dolor sit amet consectetur adipisicing elit.
Excepturi, esse.
YOU ARE NOT LOGIN
Unlocking possibilities: Login required for a world of personalized
experiences.