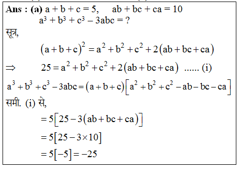
Q: If a + b + c = 5 and ab + bc + ca = 10, then the value of a³ + b³ + c³ – 3abc is यदि a + b + c = 5 तथा ab + bc + ca = 10, तो a³ + b³ + c³ – 3abc का मान है
A.
–25
B.
25
C.
D.
75
Correct Answer:
Option A -
Explanations:
Download Our App
Download our app to know more Lorem ipsum dolor sit amet consectetur adipisicing elit.
Excepturi, esse.
YOU ARE NOT LOGIN
Unlocking possibilities: Login required for a world of personalized
experiences.