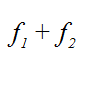
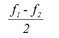
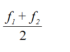
Q: For a system of two coaxially separated lenses of focal lengths f₁ & f₂ having equal dispersive power to be achromatic, their separation should be दो पृथक रखे f₁ तथा f₂ फोकस दूरी एवं बराबर विक्षेपण क्षमता वाले समक्ष लैन्सों के तन्त्र के अवर्णक होने के लिए पार्थक्य होना चाहिये:
A.
B.
C.
D.
Correct Answer:
Option B -
Explanations:
Download Our App
Download our app to know more Lorem ipsum dolor sit amet consectetur adipisicing elit.
Excepturi, esse.
YOU ARE NOT LOGIN
Unlocking possibilities: Login required for a world of personalized
experiences.