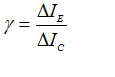
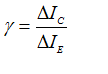
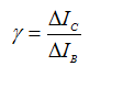
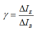
Q: For a common collector configuration, which is the correct expression for the current amplification factor? एक उभयनिष्ठ संग्राहक विन्यास के लिए, धारा प्रवर्धन गुणांक के लिए, सही व्यंजक कौन सा है?
A.
B.
C.
D.
Correct Answer:
Option D -
Explanations:
Download Our App
Download our app to know more Lorem ipsum dolor sit amet consectetur adipisicing elit.
Excepturi, esse.
YOU ARE NOT LOGIN
Unlocking possibilities: Login required for a world of personalized
experiences.