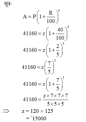
Q: Ajay received ₹41,160 for lending ₹z for 3 years at the rate of 40% per annum compound interest. What is the value of z (in ₹)?
अजय को 40% वार्षिक चक्रवृद्धि ब्याज दर पर 3 वर्षों के लिए `z उधार देने पर `41,160 प्राप्त हुए । z का मान (` में) ज्ञात कीजिए।
A.
15,750
B.
15,500
C.
15,250
D.
15,000
Correct Answer:
Option D -
Explanations:
Download Our App
Download our app to know more Lorem ipsum dolor sit amet consectetur adipisicing elit.
Excepturi, esse.
YOU ARE NOT LOGIN
Unlocking possibilities: Login required for a world of personalized
experiences.