Q: ABC एक समबाहु त्रिभुज है। P, Q, और R क्रमश: AB, BC और AC भुजाओं के मध्य बिन्दु है। त्रिभुज की भुजा की लम्बाई 4 cm है। त्रिभुज PQR का क्षेत्रफल ज्ञात कीजए।
A.
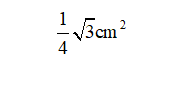
B.
C.
D.
Correct Answer:
Option C -
Explanations:
Download Our App
Download our app to know more Lorem ipsum dolor sit amet consectetur adipisicing elit.
Excepturi, esse.
YOU ARE NOT LOGIN
Unlocking possibilities: Login required for a world of personalized
experiences.