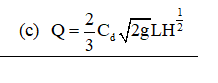
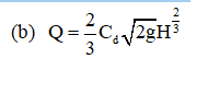
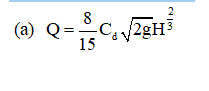
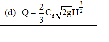
Q: A rectangular suppressed weir is a device used to measure stream flow in an open channel. For a rectangular suppressed weir flowing free, the discharge Q is related to the head H over the weir as ____. एक आयताकार अवरूद्ध वियर एक उपकरण है जो एक खुली चैनल में धारा प्रवाह मापने के लिए प्रयोग किया जाता है। मुक्त रूप से प्रवाहित हो रहे एक आयताकार अवरूद्ध वियर के लिए, वियर के ऊपर शीर्ष H से विसर्जन Q……. के रूप में सम्बन्धित है।
A.
B.
C.
D.
Correct Answer:
Option D -
Explanations:
Download Our App
Download our app to know more Lorem ipsum dolor sit amet consectetur adipisicing elit.
Excepturi, esse.
YOU ARE NOT LOGIN
Unlocking possibilities: Login required for a world of personalized
experiences.