Q: A pole of length 7m is fixed vertically on the top of a tower. The angle of elevation of the top of the pole observed from a point on the ground is 60º and the angle of depression of the same point on the ground from the top of the tower is 45°. The height (in m) of the tower is:
A.
B.
C.
D.
Correct Answer:
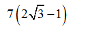
Option D -
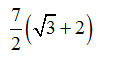
Explanations:
Download Our App
Download our app to know more Lorem ipsum dolor sit amet consectetur adipisicing elit.
Excepturi, esse.
YOU ARE NOT LOGIN
Unlocking possibilities: Login required for a world of personalized
experiences.